§ 77.1.81 - D.Lgs. 29 dicembre 2021, n. 230 .
Istituzione dell'assegno unico e universale per i figli a carico, in attuazione della delega conferita al Governo ai sensi della legge 1° aprile [...]


Settore:Normativa nazionale
Materia:77. Previdenza
Capitolo:77.1 assegni familiari
Data:29/12/2021
Numero:230


Sommario
Art. 1.  Oggetto
Art. 2.  Beneficiari
Art. 3.  Requisiti soggettivi del richiedente
Art. 4.  Criteri per la determinazione dell'assegno
Art. 5.  Maggiorazione per i nuclei familiari con ISEE non superiore a 25.000 euro
Art. 6.  Modalità di presentazione della domanda ed erogazione del beneficio
Art. 7.  Compatibilità rispetto alle prestazioni sociali
Art. 8.  Neutralità fiscale
Art. 9.  Osservatorio nazionale per l'assegno unico e universale
Art. 10.  Abrogazioni e modificazioni
Art. 11.  Disposizioni di proroga in materia di assegno temporaneo per figli minori e di maggiorazione dell'importo dell'assegno al nucleo familiare
Art. 12.  Disposizioni in materia di assunzione di personale per l'attuazione dell'Assegno unico e universale
Art. 13.  Disposizioni finanziarie
Art. 14.  Entrata in vigore


§ 77.1.81 - D.Lgs. 29 dicembre 2021, n. 230 [1].

Istituzione dell'assegno unico e universale per i figli a carico, in attuazione della delega conferita al Governo ai sensi della legge 1° aprile 2021, n. 46.

(G.U. 30 dicembre 2021, n. 309)

 

     IL PRESIDENTE DELLA REPUBBLICA

 

     Visti gli articoli 76 e 87 della Costituzione;

     Vista la legge 1° aprile 2021, n. 46, recante «Delega al Governo per riordinare, semplificare e potenziare le misure a sostegno dei figli a carico attraverso l'assegno unico e universale»;

     Visto il decreto-legge 13 marzo 1988, n. 69, convertito, con modificazioni, dalla legge 13 maggio 1988, n. 153, recante «Norme in materia previdenziale, per il miglioramento delle gestioni degli enti portuali ed altre disposizioni urgenti» e, in particolare, l'articolo 2;

     Vista la legge 23 dicembre 1998, n. 448, recante «Misure di finanza pubblica per la stabilizzazione e lo sviluppo» e, in particolare, l'articolo 65;

     Vista la legge 11 dicembre 2016, n. 232, recante «Bilancio di previsione dello Stato per l'anno finanziario 2017 e bilancio pluriennale per il triennio 2017-2019» e, in particolare, l'articolo 1, comma 353;

     Visto l'articolo 1, comma 339, della legge 27 dicembre 2019, n. 160, relativo all'istituzione del «Fondo assegno universale e servizi alla famiglia»;

     Visto il decreto-legge 8 giugno 2021, n. 79, convertito, con modificazioni, dalla legge 30 luglio 2021, n. 112, recante «Misure urgenti in materia di assegno temporaneo per figli minori»;

     Visto il decreto-legge 30 settembre 2021, n. 132, convertito, con modificazioni, dalla legge 23 novembre 2021, n. 178, recante «Misure urgenti in materia di giustizia e di difesa, nonchè proroghe in tema di referendum, assegno temporaneo e IRAP» e, in particolare, l'articolo 4;

     Visto il decreto-legge 21 ottobre 2021, n. 146, convertito, con modificazioni, dalla legge 17 dicembre 2021, n. 215, recante «Misure urgenti in materia economica e fiscale, a tutela del lavoro e per esigenze indifferibili» e, in particolare, l'articolo 17, comma 1;

     Visto il decreto del Presidente della Repubblica 22 dicembre 1986, n. 917, recante «Approvazione del testo unico delle imposte sui redditi» e, in particolare, l'articolo 12;

     Vista la preliminare deliberazione del Consiglio dei ministri, adottata nella riunione del 18 novembre 2021;

     Acquisito il parere della Conferenza unificata di cui all'articolo 8 del decreto legislativo 28 agosto 1997, n. 281, reso nella seduta del 2 dicembre 2021;

     Acquisiti i pareri delle competenti Commissioni della Camera dei deputati e del Senato della Repubblica;

     Vista la deliberazione del Consiglio dei ministri, adottata nella riunione del 23 dicembre 2021;

     Sulla proposta del Ministro per le pari opportunità e la famiglia, del Ministro del lavoro e delle politiche sociali e del Ministro dell'economia e delle finanze, sentito il Ministro per le disabilità;

 

     Emana

     il seguente decreto legislativo:

 

Art. 1. Oggetto

     1. A decorrere dal 1° marzo 2022 è istituito l'assegno unico e universale per i figli a carico, che costituisce un beneficio economico attribuito, su base mensile, per il periodo compreso tra marzo di ciascun anno e febbraio dell'anno successivo, ai nuclei familiari sulla base della condizione economica del nucleo, in base all'indicatore della situazione economica equivalente (ISEE) di cui al decreto del Presidente del Consiglio dei ministri 5 dicembre 2013, n. 159, secondo quanto di seguito disciplinato.

     2. Ai fini del presente decreto, si considerano figli a carico quelli facenti parte del nucleo familiare indicato ai fini ISEE, in corso di validità, calcolato ai sensi dell'articolo 7 del decreto del Presidente del Consiglio dei ministri 5 dicembre 2013, n. 159. Nel caso di nuclei con figli maggiorenni, l'ISEE è calcolato ai sensi degli articoli da 2 a 6 e 9 del decreto del Presidente del Consiglio dei ministri 5 dicembre 2013, n. 159.

     2-bis. Ai soli fini dell'attribuzione dell'assegno di cui al comma 1, si considerano anche i figli residenti in un altro Stato membro dell'Unione europea che siano fiscalmente a carico ai sensi della normativa italiana vigente [2].

     3. In assenza di ISEE il nucleo di riferimento è accertato sulla base dei dati autodichiarati in domanda, ai sensi dell'articolo 46 del decreto del Presidente della Repubblica 28 dicembre 2000, n. 445, dal richiedente l'assegno unico, sulla base dei criteri di cui al decreto del Presidente del Consiglio dei ministri 5 dicembre 2013, n. 159.

     4. Le disposizioni del presente decreto sono applicabili nelle regioni a statuto speciale e nelle province autonome di Trento e di Bolzano compatibilmente con i rispettivi statuti e le relative norme di attuazione, anche con riferimento all'articolo 10 della legge costituzionale 18 ottobre 2001, n. 3.

 

     Art. 2. Beneficiari

     1. L'assegno di cui all'articolo 1, il cui importo è determinato ai sensi dell'articolo 4, è riconosciuto ai nuclei familiari:

     a) per ogni figlio minorenne a carico e, per i nuovi nati, decorre dal settimo mese di gravidanza;

     b) per ciascun figlio maggiorenne a carico, fino al compimento dei 21 anni di età, per il quale ricorra una delle seguenti condizioni:

     1) frequenti un corso di formazione scolastica o professionale, ovvero un corso di laurea;

     2) svolga un tirocinio ovvero un'attività lavorativa e possieda un reddito complessivo inferiore a 8.000 euro annui;

     3) sia registrato come disoccupato e in cerca di un lavoro presso i servizi pubblici per l'impiego;

     4) svolga il servizio civile universale;

     c) per ciascun figlio con disabilità a carico, senza limiti di età;

     c-bis) se nuclei familiari orfanili, per ogni orfano maggiorenne a condizione che sia già titolare di pensione ai superstiti e riconosciuto con disabilità grave ai sensi dell'articolo 3, comma 3, della legge 5 febbraio 1992, n. 104 [3].

     2. L'assegno di cui all'articolo 1 spetta, nell'interesse del figlio, in parti uguali a chi esercita la responsabilità genitoriale, salvo quanto previsto dall'articolo 6, commi 4 e 5.

     3. Al fine di assicurare la piena conoscibilità del beneficio, al momento della registrazione della nascita del figlio, l'ufficiale dello stato civile informa i genitori sull'assegno. Alle attività previste dal presente comma si provvede nell'ambito delle risorse umane, finanziarie e strumentali disponibili a legislazione vigente e, comunque, senza nuovi o maggiori oneri per la finanza pubblica.

 

     Art. 3. Requisiti soggettivi del richiedente

     1. L'assegno di cui all'articolo 1 è riconosciuto a condizione che al momento della presentazione della domanda e per tutta la durata del beneficio il richiedente sia in possesso congiuntamente dei seguenti requisiti:

     a) sia cittadino italiano o di uno Stato membro dell'Unione europea, o suo familiare, ovvero sia cittadino di uno Stato non appartenente all'Unione europea in possesso del permesso di soggiorno UE per soggiornanti di lungo periodo o sia titolare di permesso unico di lavoro autorizzato a svolgere un'attività lavorativa per un periodo superiore a sei mesi o sia titolare di permesso di soggiorno per motivi di ricerca autorizzato a soggiornare in Italia per un periodo superiore a sei mesi;

     b) sia soggetto al pagamento dell'imposta sul reddito in Italia;

     c) sia residente e domiciliato in Italia ovvero sia titolare di un contratto di lavoro subordinato o eserciti un'attività di lavoro autonomo che comportino l'iscrizione a una gestione previdenziale obbligatoria secondo la legislazione italiana e sia in regola con il pagamento dei contributi previdenziali dovuti ai sensi della normativa italiana vigente [4].

 

     Art. 4. Criteri per la determinazione dell'assegno

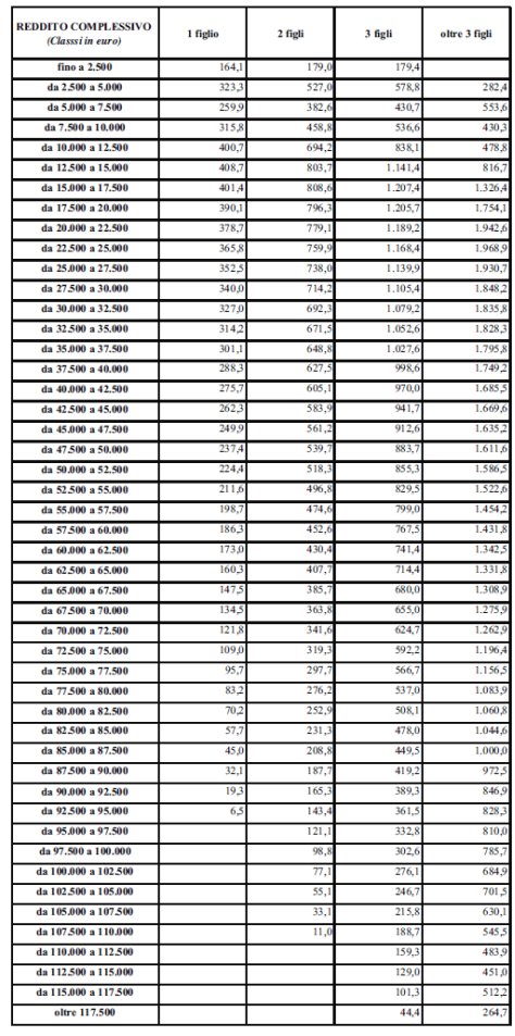
     1. Per ciascun figlio minorenne e per ciascun figlio con disabilità a carico senza limiti di età, è previsto un importo pari a 175 euro mensili. Tale importo spetta in misura piena per un ISEE pari o inferiore a 15.000 euro. Per livelli di ISEE superiori, esso si riduce gradualmente secondo gli importi indicati nella tabella 1 fino a raggiungere un valore pari a 50 euro in corrispondenza di un ISEE pari a 40.000 euro. Per livelli di ISEE superiori a 40.000 euro l'importo rimane costante. A decorrere dal 1° gennaio 2023, per ciascun figlio di età inferiore a un anno, gli importi di cui ai primi quattro periodi del presente comma, come rivalutati ai sensi del comma 11, sono incrementati del 50 per cento; tale incremento è riconosciuto inoltre per i nuclei con tre o più figli per ciascun figlio di età compresa tra uno e tre anni, per livelli di ISEE fino a 40.000 euro [5].

     2. Per ciascun figlio maggiorenne fino al compimento del ventunesimo anno di età è previsto un importo pari a 85 euro mensili. Tale importo spetta in misura piena per un ISEE pari o inferiore a 15.000 euro. Per livelli di ISEE superiori, esso si riduce gradualmente secondo gli importi indicati nella tabella 1 fino a raggiungere un valore pari a 25 euro in corrispondenza di un ISEE pari a 40.000 euro. Per livelli di ISEE superiori a 40.000 euro l'importo rimane costante.

     3. Per ciascun figlio successivo al secondo è prevista una maggiorazione dell'importo pari a 85 euro mensili. Tale importo spetta in misura piena per un ISEE pari o inferiore a 15.000 euro. Per livelli di ISEE superiori, esso si riduce gradualmente secondo gli importi indicati nella tabella 1 fino a raggiungere un valore pari a 15 euro in corrispondenza di un ISEE pari a 40.000 euro. Per livelli di ISEE superiori a 40.000 euro l'importo rimane costante.

     4. Per ciascun figlio con disabilità minorenne e anche fino al compimento del ventunesimo anno di età è prevista una maggiorazione, sulla base della condizione di disabilità come definita ai fini ISEE, degli importi individuati ai sensi dei commi 1 e 3 pari a 105 euro mensili in caso di non autosufficienza, a 95 euro mensili in caso di disabilità grave e a 85 euro mensili in caso di disabilità media [6].

     5. [Dall'anno 2023, per ciascun figlio con disabilità maggiorenne fino al compimento del ventunesimo anno di età è prevista una maggiorazione dell'importo individuato ai sensi del comma 2 pari a 80 euro mensili] [7].

     6. [Dall'anno 2023, per ciascun figlio con disabilità a carico di età pari o superiore a 21 anni è previsto un assegno dell'importo pari a 85 euro mensili. Tale importo spetta in misura piena per un ISEE pari o inferiore a 15.000 euro. Per livelli di ISEE superiori, esso si riduce gradualmente secondo gli importi indicati nella tabella 1 fino a raggiungere un valore pari a 25 euro in corrispondenza di un ISEE pari a 40.000 euro. Per livelli di ISEE superiori a 40.000 euro l'importo rimane costante] [8].

     7. Per le madri di età inferiore a 21 anni è prevista una maggiorazione degli importi individuati ai sensi dei commi 1 e 3 pari a 20 euro mensili per ciascun figlio.

     8. Nel caso in cui entrambi i genitori siano titolari di reddito da lavoro, è prevista una maggiorazione per ciascun figlio minore pari a 30 euro mensili. Tale importo spetta in misura piena per un ISEE pari o inferiore a 15.000 euro. Per livelli di ISEE superiori, esso si riduce gradualmente secondo gli importi indicati nella tabella 1 fino ad annullarsi in corrispondenza di un ISEE pari a 40.000 euro. Per livelli di ISEE superiori a 40.000 euro la maggiorazione non spetta. La maggiorazione di cui al presente comma è riconosciuta, altresì, nel caso di unico genitore lavoratore al momento della presentazione della domanda, ove l'altro risulti deceduto, per un periodo massimo di 5 anni successivi a tale evento, nell'ambito del limite di godimento dell'assegno [9].

     9. Nel caso di assenza di ISEE per i casi indicati all'articolo 1, comma 3, spettano gli importi corrispondenti a quelli minimi previsti ai commi da 1 a 8.

     10. A decorrere dall'anno 2022 è riconosciuta una maggiorazione forfettaria per i nuclei familiari con quattro o più figli, pari a 100 euro mensili per nucleo. A decorrere dal 1° gennaio 2023, la maggiorazione mensile di cui al primo periodo del presente comma è incrementata del 50 per cento [10].

     11. Gli importi dell'assegno di cui all'articolo 1, come individuati della tabella 1 allegata al presente decreto, e le relative soglie ISEE sono adeguati annualmente alle variazioni dell'indice del costo della vita.

 

     Art. 5. Maggiorazione per i nuclei familiari con ISEE non superiore a 25.000 euro

     1. Al fine di consentire la graduale transizione alle nuove misure a sostegno dei figli a carico e di garantire il rispetto del principio di progressività, per le prime tre annualità, è istituita una maggiorazione di natura transitoria, su base mensile, dell'importo dell'assegno di cui all'articolo 1, come determinato ai sensi dell'articolo 4.

     2. La maggiorazione di cui al comma 1 è riconosciuta ai soggetti aventi diritto all'assegno come determinato all'articolo 4 e in presenza delle ulteriori entrambe seguenti condizioni:

     a) valore dell'ISEE del nucleo familiare di appartenenza del richiedente non superiore a 25.000 euro;

     b) effettiva percezione, nel corso del 2021, dell'assegno per il nucleo familiare di cui all'articolo 2 del decreto-legge 13 marzo 1988, n. 69, convertito, con modificazioni, dalla legge 13 maggio 1988, n. 153, in presenza di figli minori da parte del richiedente o da parte di altro componente del nucleo familiare del richiedente.

     3. La maggiorazione mensile di cui al comma 1 è pari alla somma dell'ammontare mensile della componente familiare, come determinato al comma 4, e dell'ammontare mensile della componente fiscale, come determinato al comma 5, al netto dell'ammontare mensile dell'assegno come determinato all'articolo 4.

     4. Per componente familiare si intende:

     a) per i nuclei familiari che comprendono entrambi i genitori, inclusi quelli separati o divorziati o comunque non conviventi, il valore teorico dell'assegno per il nucleo familiare determinato sulla base della Tabella A allegata al presente decreto;

     b) per i nuclei familiari che comprendono uno solo dei due genitori, il valore teorico dell'assegno per il nucleo familiare determinato sulla base della Tabella B allegata al presente decreto.

     5. Per componente fiscale si intende:

     a) nei casi in cui entrambi i genitori siano titolari di un reddito superiore a 2.840,51 euro annui, la somma degli importi dei valori teorici delle detrazioni per i figli determinati, sulla base della Tabella C allegata al presente decreto, per ciascun genitore;

     b) nei casi diversi da quelli di cui alla lettera a), l'importo del valore teorico della detrazione per i figli determinato per il solo richiedente sulla base della Tabella D allegata al presente decreto.

     6. Ai fini del riconoscimento degli importi indicate dalle Tabelle A, B, C e D:

     a) vanno considerati i figli componenti del nucleo familiare del richiedente;

     b) va considerato l'indicatore della situazione reddituale, valido ai fini ISEE, come risultante dall'articolo 4 del decreto del Presidente del Consiglio dei ministri 5 dicembre 2013, n. 159, per le Tabelle A e B e il reddito del genitore risultante dalla dichiarazione sostitutiva unica ai sensi dell'articolo 10 del decreto del Presidente del Consiglio dei ministri 5 dicembre 2013, n. 159, valida ai fini del calcolo dell'ISEE di cui al comma 2, lettera a), per le Tabelle C e D.

     7. La maggiorazione mensile di cui al comma 1 spetta:

     a) per l'intero, nell'anno 2022, a decorrere dal 1° marzo 2022;

     b) per un importo pari a 2/3, nell'anno 2023;

     c) per un importo pari a 1/3 nell'anno 2024 e per i mesi di gennaio e febbraio nell'anno 2025.

     8. La maggiorazione non spetta a decorrere dal 1° marzo 2025.

     9. La sussistenza della condizione di cui comma 2, lettera b), è autodichiarata dal richiedente al momento della richiesta. Tale autodichiarazione è soggetta a controllo successivo a cura dell'INPS che provvede, in caso di dichiarazione mendace, alla revoca della maggiorazione e all'applicazione delle sanzioni previste dalla normativa vigente.

     9-bis. Nel caso di nuclei con almeno un figlio a carico con disabilità, gli importi della maggiorazione di cui al comma 1 sono incrementati di 120 euro al mese [11].

 

     Art. 6. Modalità di presentazione della domanda ed erogazione del beneficio

     01. Fermo restando il rispetto dei requisiti di cui all'articolo 3, l'erogazione dell'assegno di cui all'articolo 1 è commisurata alla durata effettiva della residenza, del domicilio o della prestazione di lavoro svolta in Italia [12].

     1. La domanda per il riconoscimento dell'assegno di cui all'articolo 1 è presentata, annualmente, a decorrere dal 1° gennaio di ciascun anno ed è riferita al periodo compreso tra il mese di marzo dell'anno di presentazione della domanda e quello di febbraio dell'anno successivo. La domanda è presentata in modalità telematica all'INPS ovvero presso gli istituti di patronato di cui alla legge 30 marzo 2001, n. 152, secondo le modalità indicate dall'INPS sul proprio sito istituzionale entro venti giorni dalla pubblicazione del presente decreto.

     1-bis. Per i lavoratori non residenti in Italia, la domanda di cui al comma 1 è presentata per il periodo di durata della prestazione lavorativa e, in ogni caso, è rinnovata annualmente a decorrere dal 1° marzo di ciascun anno [13].

     2. Fatto salvo quanto previsto ai commi 4 e 5, la domanda di cui al comma 1 è presentata da un genitore ovvero da chi esercita la responsabilità genitoriale. L'assegno è riconosciuto a decorrere dal mese successivo a quello di presentazione della domanda; nel caso in cui è presentata entro il 30 giugno dell'anno di riferimento, l'assegno è riconosciuto a decorrere dal mese di marzo del medesimo anno. Ferma restando la decorrenza, l'INPS provvede al riconoscimento dell'assegno entro sessanta giorni dalla domanda.

     3. Nel caso di nuove nascite in corso di fruizione dell'assegno, la modifica alla composizione del nucleo familiare è comunicata con apposita procedura telematica all'INPS ovvero presso gli istituti di patronato di cui alla legge 30 marzo 2001, n. 152 entro centoventi giorni dalla nascita del nuovo figlio, con riconoscimento dell'assegno a decorrere dal settimo mese di gravidanza.

     4. L'assegno è corrisposto dall'INPS ed è erogato al richiedente ovvero, a richiesta, anche successiva, in pari misura tra coloro che esercitano la responsabilità genitoriale. In caso di affidamento esclusivo, l'assegno spetta, in mancanza di accordo, al genitore affidatario. Nel caso di nomina di un tutore o di affidatario ai sensi della legge 4 maggio 1983, n. 184, l'assegno è riconosciuto nell'interesse esclusivo del tutelato ovvero del minore in affido familiare.

     5. I figli maggiorenni di cui all'articolo 2 possono presentare la domanda di cui al comma 1 in sostituzione dei genitori secondo le modalità di cui al presente articolo e richiedere la corresponsione diretta della quota di assegno loro spettante.

     6. L'erogazione avviene mediante accredito su IBAN ovvero mediante bonifico domiciliato, fatto salvo quanto previsto all'articolo 7 in caso di nuclei familiari percettori di Reddito di cittadinanza.

     7. Con riguardo all'assegno relativo ai mesi di gennaio e febbraio di ogni anno, si fa riferimento all'ISEE in corso di validità a dicembre dell'anno precedente.

     8. Agli oneri derivanti dal riconoscimento dell'assegno di cui agli articoli 1, 2, 3, 4, 5 e all'articolo 7, comma 2, sono valutati in 14.219,5 milioni di euro per l'anno 2022, 18.222,2 milioni di euro per l'anno 2023, 18.694,6 milioni di euro per l'anno 2024, 18.914,8 milioni di euro per l'anno 2025, 19.201,0 milioni di euro per l'anno 2026, 19.316,0 milioni di euro per l'anno 2027, 19.431,0 milioni di euro per l'anno 2028 e 19.547,0 milioni di euro annui a decorrere dall'anno 2029 si provvede ai sensi dell'articolo 13. L'INPS provvede al monitoraggio dei relativi oneri, anche in via prospettica sulla base delle domande pervenute e accolte, e comunica mensilmente i risultati di tale attività al Ministero del lavoro e delle politiche sociali, alla Presidenza del Consiglio dei ministri - Dipartimento per le politiche della famiglia e al Ministero dell'economia e delle finanze inviando entro il 10 del mese successivo al periodo di monitoraggio, la rendicontazione degli oneri, anche a carattere prospettico, relativi alle domande accolte [14].

 

     Art. 7. Compatibilità rispetto alle prestazioni sociali

     1. L'assegno di cui all'articolo 1 è compatibile con la fruizione di eventuali altre misure a favore dei figli a carico erogate dalle regioni, province autonome di Trento e di Bolzano e dagli enti locali.

     2. Per i nuclei familiari percettori del Reddito di cittadinanza di cui al decreto-legge 28 gennaio 2019, n. 4, convertito, con modificazioni, dalla legge del 28 marzo 2019, n. 26, l'INPS corrisponde d'ufficio, a valere sugli oneri indicati all'articolo 6, comma 8, l'assegno di cui all'articolo 1 congiuntamente ad esso e con le modalità di erogazione del Reddito di cittadinanza, fino a concorrenza dell'importo dell'assegno spettante in ciascuna mensilità ai sensi di quanto previsto dal presente comma. Il beneficio complessivo è determinato sottraendo dall'importo teorico spettante la quota di Reddito di cittadinanza relativa ai figli che fanno parte del nucleo familiare, calcolata sulla base della scala di equivalenza di cui all'articolo 2, comma 4, del decreto-legge 28 gennaio 2019, n. 4, convertito, con modificazioni, dalla legge del 28 marzo 2019, n. 26. La richiesta di suddivisione del Reddito di cittadinanza fra i componenti maggiorenni del nucleo comporta anche il pagamento dell'assegno unico in parti uguali fra gli esercenti la responsabilità genitoriale.

     3. Per la determinazione del Reddito familiare di cui all'articolo 2, comma 1, lettera b), numero 4), del decreto-legge 28 gennaio 2019, n. 4, convertito, con modificazioni, dalla legge del 28 marzo 2019, n. 26, l'assegno non si computa nei trattamenti assistenziali di cui all'articolo 2, comma 6, del medesimo decreto-legge.

 

     Art. 8. Neutralità fiscale

     1. L'assegno non concorre alla formazione del reddito complessivo di cui all'articolo 8 del testo unico delle imposte sui redditi di cui al decreto del Presidente della Repubblica 22 dicembre 1986, n. 917.

 

     Art. 9. Osservatorio nazionale per l'assegno unico e universale

     1. Presso la Presidenza del Consiglio dei ministri - Dipartimento per le politiche della famiglia, è istituito l'Osservatorio nazionale per l'assegno unico e universale per i figli a carico, di seguito Osservatorio, con funzioni di supporto tecnico-scientifico per lo svolgimento delle attività di analisi, monitoraggio e valutazione d'impatto dell'assegno di cui al presente decreto.

     2. L'Osservatorio è presieduto dal Presidente dell'Osservatorio nazionale sulla famiglia di cui all'articolo 1, commi 1250 e 1253, della legge 27 dicembre 2006, n. 296, ed è, altresì, composto da un rappresentante del Ministero dell'economia e delle finanze, un rappresentante del Ministero del lavoro e delle politiche sociali, un rappresentante dell'INPS, un rappresentante dell'ISTAT, un membro designato dal Presidente dell'Osservatorio nazionale sulla condizione delle persone con disabilità, un membro designato della Conferenza unificata di cui all'articolo 8 del decreto legislativo 28 agosto 1997, n. 281 nonchè da due rappresentanti delle associazioni familiari maggiormente rappresentative.

     3. Nello svolgimento delle funzioni, l'Osservatorio:

     a) coordina le proprie attività di ricerca con quelle dell'Osservatorio nazionale sulla famiglia e dell'Osservatorio nazionale per l'infanzia e l'adolescenza di cui alla legge 23 dicembre 1997, n. 451;

     b) predispone per l'Autorità politica delegata per la famiglia una relazione annuale sullo stato di implementazione dell'assegno; a tal fine, l'INPS provvede, con le risorse umane, strumentali e finanziarie disponibili a legislazione vigente e senza nuovi o maggiori oneri per la finanza pubblica, alla realizzazione di un osservatorio statistico sui beneficiari dell'assegno aggiornato mensilmente e pubblicato sul sito istituzionale dell'Istituto nonchè alla trasmissione all'Osservatorio di una relazione trimestrale sugli aspetti amministrativi-gestionali; la relazione annuale dell'Osservatorio individua, altresì, le possibili azioni da realizzare per una maggiore efficacia dell'intervento [15].

     4. Dall'istituzione e dal funzionamento dell'Osservatorio non devono derivare nuovi o maggiori oneri per la finanza pubblica. Ai suoi componenti non spettano compensi, gettoni di presenza, rimborsi di spese o altri emolumenti comunque denominati.

 

     Art. 10. Abrogazioni e modificazioni

     1. Con effetto dal 1° gennaio 2022, è abrogato il comma 353 dell'articolo 1, della legge 11 dicembre 2016, n. 232.

     2. Con effetto dal 1° marzo 2022, l'articolo 65 della legge 23 dicembre 1998, n. 448 è abrogato. Per l'anno 2022, l'assegno di cui all'articolo 65 della legge 23 dicembre 1998, n. 448 è riconosciuto esclusivamente con riferimento alle mensilità di gennaio e febbraio.

     3. Limitatamente ai nuclei familiari con figli e orfanili, a decorrere dal 1° marzo 2022, cessano di essere riconosciute le prestazioni di cui all'articolo 2 del decreto-legge 13 marzo 1988, n. 69, convertito, con modificazioni, dalla legge 13 maggio 1988, n. 153 e di cui all'articolo 4 del testo unico delle norme concernenti gli assegni familiari, approvato con decreto del Presidente della Repubblica 30 maggio 1955, n. 797. Conseguentemente, sono ridotte le risorse da trasferire all'INPS per effetto del minor fabbisogno relativo alle effettive esigenze connesse alle prestazioni di cui al primo periodo.

     4. All'articolo 12 del testo unico delle imposte sui redditi, di cui al decreto del Presidente della Repubblica 22 dicembre 1986, n. 917, sono apportate le seguenti modificazioni:

     a) al comma 1, lettera c), primo periodo, dopo le parole «i figli adottivi o affidati» sono aggiunte le seguenti: «, di età pari o superiore a 21 anni»;

     b) al comma 1, lettera c), il secondo, il terzo e il quarto periodo sono soppressi;

     c) al comma 1, lettera c), sesto periodo, dopo le parole «In presenza di più figli» sono aggiunte le seguenti: «che danno diritto alla detrazione»;

     d) il comma 1-bis è abrogato;

     e) al comma 2, primo periodo, le parole «Le detrazioni di cui ai commi 1 e 1-bis» sono sostituite dalle seguenti: «Le detrazioni di cui al comma 1»;

     f) al comma 3, il secondo e il terzo periodo sono soppressi.

     5. Le disposizioni di cui al comma 4 si applicano a decorrere dal 1° marzo 2022.

     6. A decorrere dal 1° gennaio 2022, sono abrogati i commi 348 e 349 dell'articolo 1, della legge 11 dicembre 2016, n. 232.

 

     Art. 11. Disposizioni di proroga in materia di assegno temporaneo per figli minori e di maggiorazione dell'importo dell'assegno al nucleo familiare

     1. Al decreto-legge 8 giugno 2021, n. 79, convertito, con modificazioni, dalla legge 30 luglio 2021, n. 112, sono apportate le seguenti modificazioni:

     a) all'articolo 1, comma 1, le parole «31 dicembre 2021» sono sostituite dalle seguenti: «28 febbraio 2022». Il beneficio di cui alla presente lettera è riconosciuto secondo le modalità disciplinate dagli articoli da 1 a 4 del citato decreto-legge n. 79 del 2021 e nel limite di spesa di 440 milioni di euro per l'anno 2022;

     b) all'articolo 5, comma 1, le parole «31 dicembre 2021» sono sostituite dalle seguenti: «28 febbraio 2022».

     2. Agli oneri derivanti dal comma 1, pari a 440 milioni di euro per l'anno 2022 con riferimento alla lettera a) e valutati in 463 milioni di euro per l'anno 2022 con riferimento alla lettera b) si provvede ai sensi dell'articolo 13.

 

     Art. 12. Disposizioni in materia di assunzione di personale per l'attuazione dell'Assegno unico e universale

     1. Al fine di dare piena attuazione alle disposizioni contenute nel presente decreto, l'Istituto nazionale della previdenza sociale è autorizzato a bandire apposite procedure concorsuali pubbliche e, conseguentemente, ad assumere con contratto di lavoro subordinato a tempo indeterminato, anche mediante scorrimento di vigenti graduatorie di concorsi pubblici, con corrispondente incremento della vigente dotazione organica, un contingente di personale non dirigenziale pari a 300 unità da inquadrare nell'Area C - posizione economica C1 del Comparto Funzioni Centrali - Sez. Enti pubblici non economici.

     2. Agli oneri assunzionali derivanti dall'applicazione del comma 1, pari a euro 8.015.336 per l'anno 2022 e a euro 16.030.671 annui a decorrere dall'anno 2023 si provvede ai sensi dell'articolo 13.

     3. L'INPS pone in essere tutte le iniziative di semplificazione e di informazione all'utenza utilizzando le banche dati presenti negli archivi dell'Istituto, anche al fine di introdurre gradualmente gli strumenti necessari ad un'eventuale erogazione d'ufficio dell'assegno.

 

     Art. 13. Disposizioni finanziarie

     1. Agli oneri derivanti dagli articoli da 1 a 8 e 11, valutati in 15.122,50 milioni di euro per l'anno 2022, 18.222,20 milioni di euro per l'anno 2023, 18.694,60 milioni di euro per l'anno 2024, 18.914,80 milioni di euro per l'anno 2025, 19.201 milioni di euro per l'anno 2026, 19.316 milioni di euro per l'anno 2027, 19.431 milioni di euro per l'anno 2028 e 19.547 milioni di euro annui a decorrere dall'anno 2029 e agli oneri derivanti dall'articolo 12, pari a 8,02 milioni di euro per l'anno 2022 e 16,031 milioni di euro annui a decorrere dall'anno 2023, si provvede:

     a) quanto a 6.615,92 milioni di euro per l'anno 2022, 6.018,631 milioni di euro per l'anno 2023, 6.674,031 milioni di euro per l'anno 2024, 6.884,031 milioni di euro per l'anno 2025, 6.977,431 milioni di euro per l'anno 2026, 6.918,231 milioni di euro per l'anno 2027, 6.888,131 milioni di euro per l'anno 2028 e 6.857,131 milioni di euro annui a decorrere dall'anno 2029, mediante corrispondente riduzione dell'autorizzazione di spesa di cui all'articolo 1, comma 339, della legge 27 dicembre 2019, n. 160;

     b) per la restante quota mediante le maggiori entrate derivanti dall'articolo 10, commi 4 e 5 e dalle risorse rivenienti dalle abrogazioni di cui articolo 10, commi da 1 a 3 e comma 6.

     2. Il Ministro dell'economia e delle finanze è autorizzato ad apportare, con propri decreti, le occorrenti variazioni di bilancio.

 

     Art. 14. Entrata in vigore

     1. Il presente decreto entra in vigore il giorno successivo a quello della sua pubblicazione nella Gazzetta Ufficiale della Repubblica italiana.

 

     TABELLA 1  [16]

 

     TABELLA A

 

     TABELLA B

 

     TABELLA C: valore medio delle detrazioni fruite per figli a carico

 

 

Tabella D [17]

 

 

 


[1] Data così corretta con Errata-Corrige pubblicato nella G.U. 3 gennaio 2022, n. 1.

[2] Comma inserito dall'art. 7 bis del D.L. 19 febbraio 2026, n. 19, convertito dalla L. 20 aprile 2026, n. 50.

[3] Lettera aggiunta dall'art. 38 del D.L. 21 giugno 2022, n. 73, convertito dalla L. 4 agosto 2022, n. 122.

[4] Comma così modificato dall'art. 7 bis del D.L. 19 febbraio 2026, n. 19, convertito dalla L. 20 aprile 2026, n. 50.

[5] Comma già modificato dall'art. 38 del D.L. 21 giugno 2022, n. 73, convertito dalla L. 4 agosto 2022, n. 122 e così ulteriormente modificato dall'art. 1, comma 357, della L. 29 dicembre 2022, n. 197.

[6] Comma già modificato dall'art. 38 del D.L. 21 giugno 2022, n. 73, convertito dalla L. 4 agosto 2022, n. 122 e così ulteriormente modificato dall'art. 1, comma 357, della L. 29 dicembre 2022, n. 197.

[7] Comma modificato dall'art. 38 del D.L. 21 giugno 2022, n. 73, convertito dalla L. 4 agosto 2022, n. 122 e abrogato dall'art. 1, comma 357, della L. 29 dicembre 2022, n. 197.

[8] Comma modificato dall'art. 38 del D.L. 21 giugno 2022, n. 73, convertito dalla L. 4 agosto 2022, n. 122 e abrogato dall'art. 1, comma 357, della L. 29 dicembre 2022, n. 197.

[9] Comma così modificato dall'art. 22 del D.L. 4 maggio 2023, n. 48, convertito dalla L. 3 luglio 2023, n. 85.

[10] Comma così modificato dall'art. 1, comma 357, della L. 29 dicembre 2022, n. 197.

[11] Comma aggiunto dall'art. 38 del D.L. 21 giugno 2022, n. 73, convertito dalla L. 4 agosto 2022, n. 122 e così modificato dall'art. 1, comma 357, della L. 29 dicembre 2022, n. 197.

[12] Comma inserito dall'art. 7 bis del D.L. 19 febbraio 2026, n. 19, convertito dalla L. 20 aprile 2026, n. 50.

[13] Comma inserito dall'art. 7 bis del D.L. 19 febbraio 2026, n. 19, convertito dalla L. 20 aprile 2026, n. 50.

[14] Comma così modificato dall'art. 1 bis del D.L. 11 novembre 2022, n. 173, convertito dalla L. 16 dicembre 2022, n. 204.

[15] Lettera così modificata dall'art. 1 del D.L. 27 dicembre 2024, n. 202, convertito dalla L. 21 febbraio 2025, n. 15.

[16] Tabella inserita con Avviso di rettifica pubblicato nella G.U. 3 gennaio 2022, n. 1.

[17] Tabella inserita con Avviso di rettifica pubblicato nella G.U. 3 gennaio 2022, n. 1.