§ 45.1.9 - D.P.R. 17 ottobre 1952, n. 1317.
Regolamento per l'esecuzione delle norme di cui al capo III della legge 25 luglio 1952, n. 949, recante provvedimenti per lo sviluppo [...]


Settore:Normativa nazionale
Materia:45. Finanziamenti
Capitolo:45.1 finanziamenti
Data:17/10/1952
Numero:1317


Sommario
Articolo unico.      E’ approvato il regolamento per l'esecuzione delle norme di cui al capo III della legge 25 luglio 1952, n. 949, recante provvedimenti per lo sviluppo dell'economia e [...]
Art. 1.      Gli istituti di credito che intendano ottenere le anticipazioni di cui all'art. 5 della legge 25 luglio 1952, n. 949, dovranno presentare domanda al Ministero [...]
Art. 2.      E’ costituito presso il Ministero dell'agricoltura e delle foreste un Comitato composto
Art. 3.      Le domande di prestiti, o di mutui a termini dell'art. 5 della legge 25 luglio 1952, n. 949 debbono essere presentate all'Ispettorato agrario provinciale competente per [...]
Art. 4.      I rischi di ciascuna operazione sono posti integralmente a carico degli istituti, i quali si cauteleranno mediante le garanzie che riterranno più idonee
Art. 5.      L'esame delle domande per la concessione di prestiti o mutui verrà espletato dagli istituti prima della fine di ogni mese a decorrere dalla data della convenzione di cui [...]
Art. 6.      Alle adunanze dei Consigli di amministrazione, dei Comitati centrale di credito o di altri organi deliberanti degli istituti di credito che hanno ottenuto le [...]
Art. 7.      I prestiti per l'acquisto di macchinari possono essere concessi solo per le macchine che trovino appropriata od economica utilizzazione nell'ambito dell'azienda agraria [...]
Art. 8.      Rientrano tra le opere previste dall'art. 5 della legge n. 949 del 25 luglio 1952, anche la ricostruzione, il riattamento e gli ampliamenti - qualora comportino lavori [...]
Art. 9.      La concessione di mutui per l'esecuzione di opere destinate ad abitazione dei coltivatori, al ricovero del bestiame, alla conservazione, manipolazione ed alla [...]
Art. 10.      Nella concessione dei prestiti destinati all'acquisto di macchinari, oltre alle norme contenute nella convenzione di cui all'art. 7 della legge 25 luglio 1952, n. 949, [...]
Art. 11.      Nell'esprimere il parere sulle domande di mutuo per opere irrigue o per costruzioni rurali l'Ispettorato agrario provinciale dovrà pronunciarsi circa l'attendibilità e [...]
Art. 12.      Allorché la concessione di prestiti e mutui abbia luogo ai termini del secondo comma dell'art. 5 della legge 25 luglio 1952, n. 949, il Ministero dell'agricoltura e [...]
Art. 13.      Gli istituti sono tenuti a trasmettere - a mezzo di raccomandata con ricevuta di ritorno - al Ministero dell'agricoltura e delle foreste, entro dieci giorni dalla [...]
Art. 14.      I prelevamenti dal conto corrente fruttifero intestato al fondo di rotazione di cui al capo III della legge 25 luglio 1952, n. 949, previsto dall'art. 14 della legge [...]
Art. 15.      Le anticipazioni agli istituti saranno versate in un conto corrente, infruttifero vincolato, aperto presso la Tesoreria centrale a favore degli istituti stessi.Entro i [...]
Art. 16.      L'ammortamento delle operazioni di credito che saranno poste in essere dall'istituto ai sensi della legge 25 luglio 1952, n. 949, avrà luogo non oltre
Art. 17.      Per le operazioni di cui al presente regolamento verrà tenuta dagli istituti una gestione separata e verranno aperte apposite contabilità con le quali si metteranno in [...]
Art. 18.      Nel caso che il prestatario o il mutuatario intenda estinguere il debito nel periodo di preammortamento dovrà versare all'istituto l'importo della somma ricevuta e dei [...]
Art. 19.      Ai fini dei controlli previsti dalle vigenti disposizioni il Ministero dell'agricoltura e delle foreste e il Ministero del tesoro potranno chiedere, sia agli istituti [...]
Art. 20.      Nei casi di rilevata lentezza nell'impiego delle anticipazioni concesse in base alla convenzione di cui all'art. 7 della legge 25 luglio 1952, n. 949, è in facoltà dei [...]


§ 45.1.9 - D.P.R. 17 ottobre 1952, n. 1317.

Regolamento per l'esecuzione delle norme di cui al capo III della legge 25 luglio 1952, n. 949, recante provvedimenti per lo sviluppo dell'economia e l'incremento dell'occupazione unico.

(G.U. 25 ottobre 1952, n. 249).

 

 

     Articolo unico.

     E’ approvato il regolamento per l'esecuzione delle norme di cui al capo III della legge 25 luglio 1952, n. 949, recante provvedimenti per lo sviluppo dell'economia e l'incremento dell'occupazione, annesso al presente decreto e vistato dal Ministro per l'agricoltura e le foreste e dal Ministro per il tesoro.

 

Regolamento

per l'applicazione delle provvidenze

di cui al capo III della legge 25 luglio 1952, n. 949

 

          Art. 1.

     Gli istituti di credito che intendano ottenere le anticipazioni di cui all'art. 5 della legge 25 luglio 1952, n. 949, dovranno presentare domanda al Ministero dell'agricoltura e delle foreste entro il 15 settembre precedente l'esercizio finanziario cui si riferisce lo stanziamento.

     Per le anticipazioni da concedere relativamente agli esercizi finanziari 1952-53 e 1953-54, il Ministero può fissare un diverso termine.

     Nella domanda dovrà essere richiamata l'azione che l'istituto ha già svolto e si propone di svolgere nel campo del credito agrario e dovranno essere indicate:

     a) la zona nella quale l'istituto intende operare e l'attrezzatura di cui dispone e che si propone ed è in grado di creare per il credito agrario;

     b) la misura del compenso richiesto per il servizio, comprensivo delle spese di amministrazione, dei rischi, delle spese per imposte, spese di registro, ipotecarie e di ogni altro onere, nonché delle spese contrattuali e di istruttoria tecnica e legale relative alle operazioni di prestito o di mutuo, tenendo presente che le spese di bollo per le cambiali sono a carico del prestatario.

     Sulle domande deciderà, previ gli accertamenti del caso, il Ministero dell'agricoltura e delle foreste d'intesa con il Ministero del tesoro.

 

          Art. 2.

     E’ costituito presso il Ministero dell'agricoltura e delle foreste un Comitato composto:

     a) dal sottosegretario di Stato per l'agricoltura e foreste - presidente;

     b) da due rappresentanti del Ministero dell'agricoltura e delle foreste;

     c) da due rappresentanti del Ministero del tesoro;

     d) da due esperti, nominati dal Ministro per l'agricoltura di concerto col Ministro per il tesoro.

     Il Comitato è sentito:

     1) sulla designazione degli istituti che - espletata la istruttoria di cui all'art. 1 del presente regolamento - siano da preferire per la concessione delle anticipazioni;

     2) sull'ammontare delle anticipazioni da concedere annualmente agli istituti medesimi;

     3) sulle opere e sugli acquisti da finanziare, su tipi di progetti e di macchine e sull'ammontare massimo dei prestiti e dei mutui;

     4) sull'annuale ripartizione ai sensi dell'art. 6 (secondo comma) della legge 25 luglio 1952, n. 949, della somma di lire 25 milairdi tra le categorie di prestiti o di mutui (macchine agricole, impianti irrigui, costruzioni rurali);

     5) sui ricorsi avverso i pareri emessi dagli Ispettorati provinciali dell'agricoltura in merito alle domande di prestiti o di mutui.

     Inoltre può essere sentito su ogni materia attinente alla gestione del fondo, sulla vigilanza dell'impiego delle anticipazioni concesse o sul coordinamento dell'azione degli istituti.

 

          Art. 3.

     Le domande di prestiti, o di mutui a termini dell'art. 5 della legge 25 luglio 1952, n. 949 debbono essere presentate all'Ispettorato agrario provinciale competente per territorio.

     L'Ispettorato trasmetterà entro quindici giorni la domanda, munita del proprio parere tecnico, all'istituto di credito designato dall'interessato, dandone notizia all'Ispettorato compartimentale e al Ministero dell'agricoltura e delle foreste.

 

          Art. 4.

     I rischi di ciascuna operazione sono posti integralmente a carico degli istituti, i quali si cauteleranno mediante le garanzie che riterranno più idonee.

     Nei casi in cui il mutuo sia garantito da ipoteca sul fondo, nel determinare il valore cauzionale del fondo stesso, si terrà presente anche l'incremento di produttività che dall'esecuzione delle opere potrà derivare al fondo medesimo, nonché l'efficienza complessiva dell'azienda.

     A questo fine l'Ispettorato provinciale dell'agricoltura, nell'esprimere il proprio parere sulla convenienza tecnica ed economica dell'acquisto di macchine agricole o sulla esecuzione delle opere di irrigazione o di costruzioni rurali, dovrà anche indicare il presumibile incremento della produttività della azienda conseguente alla esecuzione delle opere medesime od all'acquisto del macchinario per i quali viene richiesto il prestito o il mutuo, nonché il valore del fondo stesso secondo la stima di mercato e secondo le tabelle compilate dalla Commissione centrale per l'applicazione dell'imposta progressiva straordinaria sul patrimonio.

 

          Art. 5.

     L'esame delle domande per la concessione di prestiti o mutui verrà espletato dagli istituti prima della fine di ogni mese a decorrere dalla data della convenzione di cui all'art. 7 della legge 25 luglio 1952, n. 949.

     Saranno accolte, nel seguente ordine di preferenza, anche fino alla concorrenza dell'intera somma anticipata all'isituto, le domande presentate:

     1) da coltivatori diretti singoli o associati in cooperative o in altra forma;

     2) da piccole aziende (sole od associate);

     3) da medie aziende (sole od associate);

     4) da grandi aziende (sole od associate).

     Ai fini di cui al precedente comma sono da considerare:

     a) coltivatori diretti coloro che coltivano direttamente il terreno, di cui sono proprietari od affittuari, con il lavoro proprio e dei familiari;

     b) piccole aziende quelle che impiegano con carattere continuativo per l'esercizio della conduzione agricola la mano d'opera di una famiglia coltivatrice, qualora trattasi di aziende a conduzione diretta o compartecipazione oppure che impiegano mediamente, nell'intero anno, non più di cinque unità lavorative se trattasi di aziende a salariati;

     c) medie aziende quelle, che, oltre i limiti d'impiego di mano d'opera sopra indicati, sono gravate di un reddito imponibile catastale, applicato in base al R.D. 4 aprile 1939, n. 589, non superiore alle lire 80.000 annue;

     d) grandi aziende quelle il cui reddito catastale supera le 80.000 lire annue.

     Successivamente saranno da prendersi in esame le domande di consorzi, enti e società che si propongono di costruire ed esercire impianti di distribuzione di acque per irrigazione nelle zone in cui i proprietari fondiari non trovino possibile o conveniente provvedere direttamente alla costruzione degli impianti.

 

          Art. 6.

     Alle adunanze dei Consigli di amministrazione, dei Comitati centrale di credito o di altri organi deliberanti degli istituti di credito che hanno ottenuto le anticipazioni, allorquando debbono essere adottate decisioni sulle richieste di concessione di prestiti o mutui previsti dalla legge, partecipa, con voto deliberativo, l'ispettore provinciale dell'agricoltura che ha espresso parere sulle richieste medesime.

     Qualora la concessione del prestito o mutuo non sia deliberata da un organo collegiale dell'istituto, ma da un dirigente o funzionario, questi prima di decidere, sentirà l'ispettore provinciale suddetto. Nei casi di difformità di pareri decide l'organo collegiale di cui al primo comma.

 

          Art. 7.

     I prestiti per l'acquisto di macchinari possono essere concessi solo per le macchine che trovino appropriata od economica utilizzazione nell'ambito dell'azienda agraria cui il prestito si riferisce.

     Nel caso in cui la richiesta provenga da agricoltori comunque associati le macchine debbono essere proporzionate alla attività agricola che i richiedenti si propogono di svolgere nell'ambito delle rispettive aziende agrarie.

     Agli effetti dell'art. 5 della legge n. 949, del 25 luglio 1952, sono compresi nella denominazione di macchine agricole tutti i mezzi che interessano la meccanizzazione al servizio delle aziende agrarie, anche se utilizzabili per la produzione di energia illuminante o motrice e per la conservazione, manipolazione e trasformazione dei prodotti delle aziende stesse.

 

          Art. 8.

     Rientrano tra le opere previste dall'art. 5 della legge n. 949 del 25 luglio 1952, anche la ricostruzione, il riattamento e gli ampliamenti - qualora comportino lavori di sostanziale e permanente miglioramento - di edifici rurali destinati alla abitazione dei coltivatori, al ricovero del bestiame, o alla conservazione, manipolazione e trasformazione dei prodotti.

 

          Art. 9.

     La concessione di mutui per l'esecuzione di opere destinate ad abitazione dei coltivatori, al ricovero del bestiame, alla conservazione, manipolazione ed alla trasformazione dei prodotti agricoli potrà effettuarsi sempre che tali opere, impianti e attrezzature rispondano ai requisiti previsti dall'art. 9 della legge 23 aprile 1949, n. 165, e cioè siano di potenzialità non eccedente il fabbisogno dell'azienda agricola a cui debbono servire e si inseriscano nella struttura dell'azienda stessa, in modo da formare con gli altri fattori produttivi un complesso organico unitario.

     Allorquando dette opere siano costruite da agricoltori comunque associati esse non debbono eccedere il fabbisogno delle aziende associate.

     La rispondenza dei progetti delle opere, impianti ed attrezzature, ai requisiti suddetti è giudicata dall'Ispettorato provinciale per l'agricoltura competente per territorio.

     Peraltro il Ministero dell'agricoltura e delle foreste - sentito il Comitato di cui al precedente art. 2 - ha facoltà di modificarne il giudizio.

 

          Art. 10.

     Nella concessione dei prestiti destinati all'acquisto di macchinari, oltre alle norme contenute nella convenzione di cui all'art. 7 della legge 25 luglio 1952, n. 949, debbono, in ogni caso essere osservate le seguenti:

     a) il richiedente il prestito dovrà dimostrare che la macchina da acquistare è di fabbricazione italiana e che la somma richiesta non ecceda i 3/4 del prezzo di vendita della macchina medesima;

     b) il richiedente dovrà impegnarsi a non rivendere la macchina acquistata, per tutta la durata del prestito, sotto pena di decadenza dal beneficio del termine.

     In caso di decadenza ai sensi della precedente lettera b) i versamenti al fondo, da parte degli istituti, saranno effettuati alle scadenze previste per l'ammortamento od alla data del recupero se questo venga realizzato prima delle scadenze medesime.

 

          Art. 11.

     Nell'esprimere il parere sulle domande di mutuo per opere irrigue o per costruzioni rurali l'Ispettorato agrario provinciale dovrà pronunciarsi circa l'attendibilità e la congruità dei costi indicati dai richiedenti, segnalando l'ammontare delle spese da ammettere a mutuo, nonché il periodo entro il quale debbono essere somministrati i mutui ed eseguite le opere.

     Tale periodo non potrà eccedere di regola i dodici mesi.

 

          Art. 12.

     Allorché la concessione di prestiti e mutui abbia luogo ai termini del secondo comma dell'art. 5 della legge 25 luglio 1952, n. 949, il Ministero dell'agricoltura e delle foreste fissa, a norma e con le limitazioni previste dall'art. 45 del R.D. 13 febbraio 1933, n. 215, le modalità di determinazione delle tariffe di uso e di periodica revisione delle medesime, nonché, eventualmente, le modalità di riscatto da parte degli agricoltori interessati.

 

          Art. 13.

     Gli istituti sono tenuti a trasmettere - a mezzo di raccomandata con ricevuta di ritorno - al Ministero dell'agricoltura e delle foreste, entro dieci giorni dalla pronuncia dei propri organi amministrativi, le deliberazioni sulle concessioni di prestiti o di mutui accompagnate da elenchi riepilogativi distinti per le varie categorie di operazioni e precisamente:

     a) per acquisto di macchine agricole;

     b) per l'esecuzione di impianti di irrigazione;

     c) per la costruzione di edifici rurali.

     Il Ministero, accertato che per dette operazioni i concessionari non abbiano percepito altro contributo, sussidio o concorso a carico dello Stato, farà conoscere, entro 10 giorni dalla data della restituzione della ricevuta di ritorno, se non approva le deliberazioni.

     Trascorso tale termine, in difetto di opposizione, le delibere si intendono approvate. Tuttavia ove risultasse, anche successivamente, che l'interessato abbia beneficiato, per gli stessi acquisti ed opere, di altre provvidenze statali, sarà provveduto ai recuperi del caso.

 

          Art. 14.

     I prelevamenti dal conto corrente fruttifero intestato al fondo di rotazione di cui al capo III della legge 25 luglio 1952, n. 949, previsto dall'art. 14 della legge stessa, avverranno su ordinativi di pagamento emessi dal Ministero dell'agricoltura e delle foreste, vistati dalla Ragioneria centrale presso il Ministero medesimo.

 

          Art. 15.

     Le anticipazioni agli istituti saranno versate in un conto corrente, infruttifero vincolato, aperto presso la Tesoreria centrale a favore degli istituti stessi.Entro i limiti dell'anticipazione i prelevamenti da parte degli istituti saranno effettuati per ciascun prestito o mutuo regolarmente stipulato, per un importo corrispondente alle singole somministrazioni a favore del beneficiario, a mezzo di apposite richieste degli istituti medesimi, vistate dagli Ispettorati provinciali dell'agricoltura competenti, nella misura e nei termine di cui al seguente capoverso.

     I prestiti o mutui concessi per l'esecuzione di impianti irrigui o di fabbricati rurali saranno somministrati per il 40 per cento appena reso esecutivo il contratto, per altro 25 per cento in base a stati di avanzamento accertati dal competente Ispettorato provinciale dell'agricoltura e per il rimanente 35 per cento a saldo, a collaudo effettuato dall'Ispettorato medesimo, sempre che il beneficiario abbia investito nelle opere finanziarie la quota di 1/4 del loro costo non coperta dal prestito o dal mutuo.

     Nel caso in cui il costo risultante dal collaudo sia inferiore alla somma a suo tempo ritenuta ammissibile ai fini della determinazione dell'importo del prestito o mutuo, il finanziamento stesso verrà proporzionalmente ridotto e riportato cioè ad ammontare non superiore ai 3/4 della spesa collaudata. Gli isituti, contemporaneamente alla regolarizzazione dei propri rapporti con i beneficiari, rimborseranno al conto corrente vincolato l'eventuale eccedenza della somma prelevata rispetto all'ammontare definitivo del prestito o del mutuo.

     I prestiti concessi per l'acquisto di macchine agricole saranno somministrati dagli istituti, per conto dei compratori, alla ditta costruttrice delle macchine o alla ditta od ente che ne ha effettuato le vendite.

 

          Art. 16.

     L'ammortamento delle operazioni di credito che saranno poste in essere dall'istituto ai sensi della legge 25 luglio 1952, n. 949, avrà luogo non oltre:

     a) cinque anni per i prestiti destinati all'acquisto di macchine;

     b) sei anni per prestiti o mutui destinati ad opere di irrigazione;

     c) dodici anni per prestiti o mutui destinati alla costruzione di edifici rurarli.

     Dette operazioni saranno estinte in annualità o semestralità posticipate costanti comprensive delle quote di rimborso capitale e dei relativi interessi.

     L'inizio dell'ammortamento avrà luogo il 1° gennaio ed il 1° luglio successivo alla data di somministrazione del saldo del prestito o del mutuo.

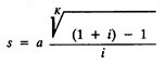
     Per il periodo di preammortamento - che non potrà di regola superare i dodici mesi dalla data del 1° del mese successivo a quello della concessione del mutuo - il beneficiario sarà tenuto a corrisponedere l'interesse semplice posticipato in ragione del 3 per cento sulle somme a mano a mano erogategli dell'istituto.Le annualità o semestralità di ammortamento saranno calcolate applicando, rispettivamente, le seguenti formule:

 

 

dove a è l'annualità posticipata, i è l'interesse annuo di una lira (0,03), n è il numero degli anni.

 

dove s è la semestralità posticipata, a l'annualità, i l'interesse annuale e K = 2.

 

     Per i prestiti o mutui aventi rispettivamente le durate di 5, 6 e 12 anni, le annualità o le semestralità a carico dei beneficiari saranno, per ogni 100 lire di capitale mutuato, rispettivamente:

 

1) annualità

per 5 anni

L.

21,835457

"

per 6 anni

L.

18,459750

"

per 12 anni

L.

10,046209

2) semestralità

per 5 anni

L.

10,837053

"

per 6 anni

L.

9,151672

"

per 12 anni

L.

4,985987

 

          Art. 17.

     Per le operazioni di cui al presente regolamento verrà tenuta dagli istituti una gestione separata e verranno aperte apposite contabilità con le quali si metteranno in evidenza:

     a) l'ammontare delle somme prelevate dal fondo sulle anticipazioni ad essi assegnate;

     b) l'ammontare delle somministrazioni corrisposte ai beneficiari;

     c) gli interessi dovuti dai beneficiari nel periodo di preammortamento;

     d) le rate di ammortamento dovute dai beneficiari;

     e) l'ammontare di ciascuna estinzione anticipata;

     f) i compensi trattenuti dagli istituti.

     Le annualità di ammortamento dovute dai beneficiari - dedotti i compensi spettanti agli istituti - dovranno essere versate, a cura degli istituti stessi, al fondo, tramite la Tesoreria centrale, alle scadenze stabilite nei rispettivi piani di ammortamento e ciò anche se i beneficiari non abbiano provveduto ai relativi pagamenti.

     Parimenti, alle scadenze stabilite, dovranno venire versate al fondo, le somme dovute dai beneficiari per gli interessi del periodo di preammortamento, dedotti i compensi spettanti agli istituti.

     Dopo il 30 giugno 1964 i versamenti affluiranno ad apposito capitolo dello stato di previsione della entrata del Tesoro.

     Alla fine di ciascun semestre gli istituti trasmetteranno ai Ministeri dell'agricoltura e delle foreste e del tesoro gli estratti dei movimenti verificatisi nella gestione di cui al primo comma del precedente articolo.

 

          Art. 18.

     Nel caso che il prestatario o il mutuatario intenda estinguere il debito nel periodo di preammortamento dovrà versare all'istituto l'importo della somma ricevuta e dei relativi interessi semplici maturati.

     Se il mutuatario o prestatario intenda estinguere anticipatamente il mutuo o il prestito durante il periodo di ammortamento dovrà versare il residuo debito capitale a suo carico alla data del riscatto, e cioè il valore attuale del 3 per cento delle singole annualità o semestralità di ammortamento ancora da scadere.

     Gli istituti verseranno entro 5 giorni al fondo di rotazione, pel tramite della Tesoreria centrale, gli importi delle estinzioni anticipate predette, previa deduzione di una quota pari ad una annualità del compenso loro spettante, previsto nella Convenzione di cui all'art. 7 della legge 25 luglio 1952, n. 949.

     Dopo il 30 giugno 1964 tali versamenti affluiranno ad apposito capitolo dello stato di previsione dell'entrata del Tesoro.

 

          Art. 19.

     Ai fini dei controlli previsti dalle vigenti disposizioni il Ministero dell'agricoltura e delle foreste e il Ministero del tesoro potranno chiedere, sia agli istituti che ai beneficiari, tutti i dati, le notizie e i documenti occorrenti per la esplicazione della loro vigilanza sulla gestione delle anticipazioni e sui prestiti e mutui con tali anticipazioni concessi e somministrati.

     Detti Ministeri potranno inoltre disporre verifiche sulle gestioni delle anticipazioni previste nella convenzione di cui al precedente art. 18, per accertare la situazione in riferimento ai prestiti e ai mutui concessi e somministrati e la regolarità delle relative operazioni.

     A questo scopo gli istituti dovranno convenire con i beneficiari l'inserzione - nei singoli contratti di prestito o di mutuo - di apposita clausola da cui risulti il consenso dei beneficiari stessi a che siano esercitati, per la durata dell'ammortamento, controlli circa l'esistenza e l'impiego delle macchine acquistate e la destinazione delle opere eseguite.

     Gli istituti sono tenuti ad agevolare i funzionari incaricati dei controlli ed ispezioni di cui al precedente comma, in modo da rendere sollecito ed efficace lo svolgimento delle relative operazioni.

 

          Art. 20.

     Nei casi di rilevata lentezza nell'impiego delle anticipazioni concesse in base alla convenzione di cui all'art. 7 della legge 25 luglio 1952, n. 949, è in facoltà dei Ministri per il tesoro e per l'agricoltura e le foreste di stornare - previa diffida ad utilizzare le somme assegnate entro il termine che verrà stabilito con la diffida stessa - le anticipazioni medesime, in tutto o in parte, a favore di altri istituti.